系统结构
选择
判断
简答
应用
编程openmp(简单)
综合
算
非线性流水线
单级互联网络
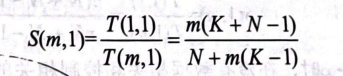
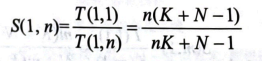
多级互连网络(分析)
流水线相关性处理
cache-主存
概念性



模拟:用机器语言程序解释实现机器指令,灵活性大,几乎全部机器,但速度慢
仿真:用微程序去直接解释机器指令,只能在系统结构差别不大的机器,但速度快
冯•诺依曼体系结构运算器(ALU)、控制器(CU)、存储器(MEM)和输入/输出设备(IN/OUT)
存储程序,顺序执行


Amdahl 定律:



cpu内部互连
星型→环形(无需中间节点中转,核数不能太多≤12)



GPU 适用于计算粒度大、通信量小、并行度比较高、较少访问内存的计算
全相联映像,直接映像和组相联映像(特点!)

由于 Cache 的地址变换和块替换算法的实现均依靠硬件,故“Cache-主存”层次对系统程序员和用户都是透明的,且Cache 对CPU 与主存间的信息通信也是透明的。
3.4.7 Cache 性能计算(看懂例子💦)(问法变化)(例3-3,3-4 ,3-6不用看)

哪些是以及为什么
流水线的基本特点(理解)(注意如果时间不相等就不是流水线的特点了)

并不会减少单次的时间,只会减少总体的
评价指标:吞吐率(计算,任务数/时间(花费时间)),加速比,效率

只要是连续进入流水线的。
标量处理机:

超标量处理机:(同时发射m条)


超流水线处理机:(同时发射一条)


非线性!!!
数据相关:写读/读写相关,即用同一个变量或寄存器
!!!标量流水线,如果碰到循环,怎么去插入延时处理。所有预取指令都要作废,
?

在多核中,关于cache一致性问题,不能用写回法,只能写直达?
raid通过数据备份和分布存储来提高可靠性和性能的系统。
计算机系统提高并行性的措施:时间重叠(流水线),资源重复(多核/gpu),资源共享(分时系统)
并行处理机也称 SIMD 计算机,因为它是用一个控制器控制多个处理单元构成的阵列,所以也称阵列处理机。通过重复设置大量相同的PE,将它们按一定方式互连成阵列,在单一CU控制下,阵列内各个PB 过各自所分配的不同数据并行执行同一条指令规定的操作。




注意英文,注意混用



MPI编程的常见API的含义(比如reduce)







linpack测试是什么,是干什么的,会用到哪些程序包,全称是什么,缩写是什么,原理是什么,怎么进行测试的
关于系统发展中,单核多核适合什么,cpu,gpu适合什么可以思考一下
集群通过高速互联网络来连接计算机通过消息传递机制向用户提供单一的编程环境计算资源